Temukan Kata Kerja Imperatif Pada Teks Prosedur Diatas
3temukan kata kerja imperatif pada teks prosedur di atas.
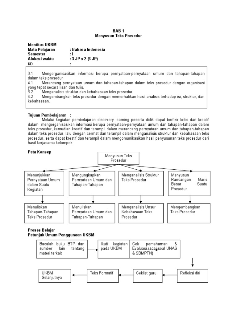
![]()
Temukan kata kerja imperatif pada teks prosedur diatas. Kalimat imperatif pembiaran merupakan kalimat perintah yang dinyatakan dengan kata biarkan dan biar. Kalimat imperatif adalah kalimat yang didalamnya mengandung perintah. Kata kerja imperatif biasa berakhiran partikel kan i dan lah. Kata kerja imperatif dalam teks prosedur kiat berwawancara kerja adalah dipahami berbicara perhatikan menanyakan mencoba melakukan pastikan menampilkan hindari cobalah ceritakanlah hindari jadilah tunjukkan dan gunakanlah.
Mohon kerja samanya teman teman. Contohnya dapat kita temukan dalam kalimat kalimat berikut ini. Oleh dosen pendidikan 2 diposting pada 27022020 125 contoh kalimat imperatif pengertian ciri fungsi dan jenis untuk pembahasan kali ini kami akan mengulas mengenai kalimat imperatif yang dimana dalam hal ini meliputi pengertian fungsi ciri. Kata kerja imperatif disebut juga sebagai kata kerja perintah.
Untuk lebih mudah memahaminya berikut contoh kata kerja imperatif dalam teks prosedur tentang bagaimana cara membuat telur goreng dengan mudah cepat dan hasilnya sempurna. Biasanya kalimat ini digunakan untuk meminta atau melarang seseorang untuk dan tidak lakukan sesuatu hal. Admin dari blog terkait teks 2019 juga mengumpulkan gambar gambar lainnya terkait temukan kata kerja imperatif pada teks prosedur kiat berwawancara kerja dibawah ini. Berikut informasi sepenuhnya tentang temukan kata kerja imperatif pada teks prosedur kiat berwawancara kerja.
6berikanlah tanggapan dengan bahasamu sendiri pada teks tersebut. Mintalah izin kepada orang tua mu. Mohon diterima kado dari saya ini. 2berdasarkan isinyaapakah fungsi teks prosedur diatas.
Pengertian kalimat imperatif seperti yang admin kutip dari kamus besar bahasa indonesia kbbi adalah kalimat yang bersifat memerintah atau memberi komando mempunyai hak memberi komando dan bersifat. Mintalah hadiah kepada ayahmu. Contoh kalimat imperatif dalam teks prosedur saat kita ingin membuat teks prosedur yang baik dan benar tentu kita harus memperhatikan juga kalimat imperatif deklaratif maupun interogatif. Dalam tulisan biasanya kalimat imperatif ditandai dengan tanda seru dan diikuti dengan kata tolong jangan silahkan.
Pastikan kamu telah menaruh kunci rumah di dalam lemari. Kalimat ini adalah kebalikan dari kalimat imperatif larangan. 5temukan pernyataan persuasif pada teks prosedur ndi atas. Hindari plagiarisme dalam menulis esai.
Kata kerja atau verba imperatif adalah kelas kata kerja yang menyampaikan instruksi atau perintah dari penutur kepada lawan bicara untuk melakukan. Maka dari itu teks prosedur ini bersifat fleksibel karenakan tidak mempunyai batas sesuatu yang bersifat paten. Kalimat imperatif dapat diketahui dari konotasi cara bicaranya. 4temukan enam konjungsi pada teks prosedur di atas.


























